>

Our Research Project

A psychometric approach to decision-making thresholds across legal and societal domains

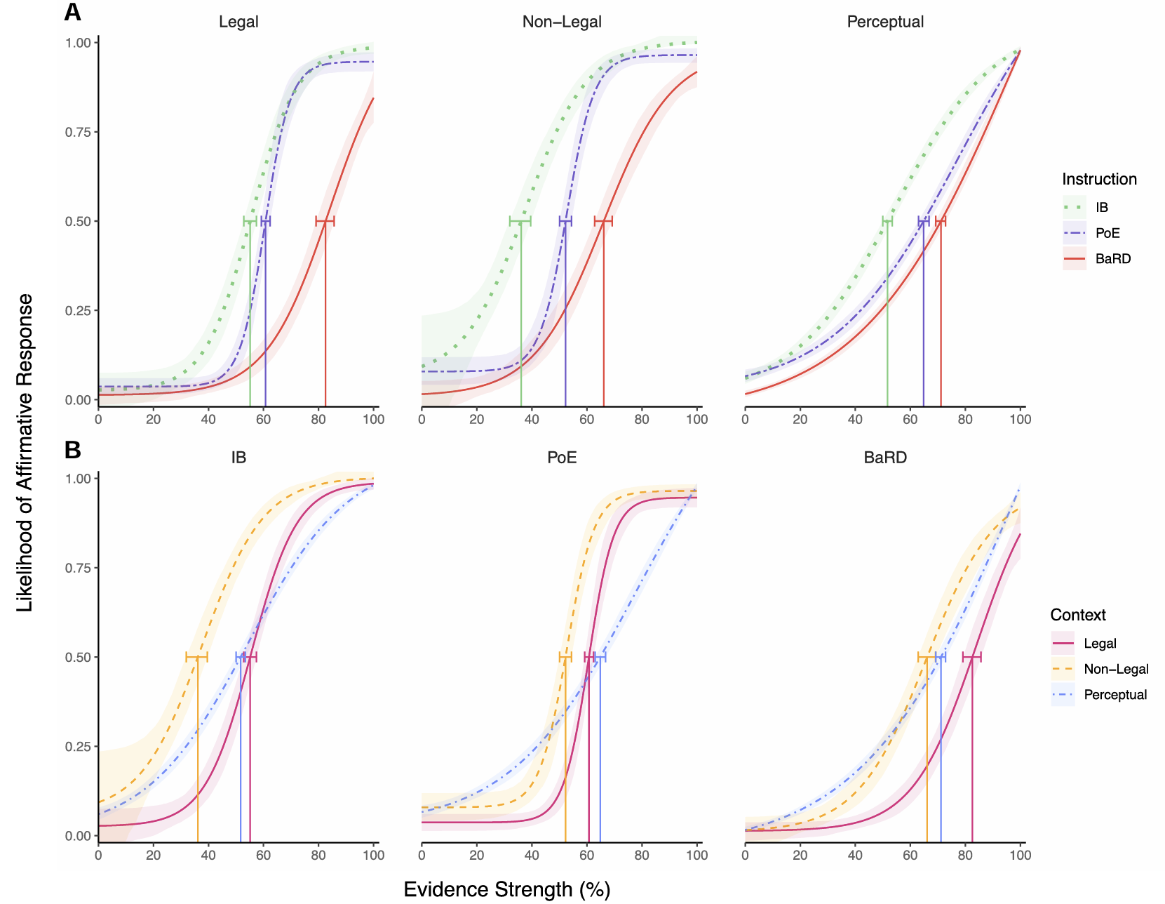
What constitutes enough evidence to make a decision? While this is an important question across multiple domains, it takes on special importance in the US legal system, where jurors and judges are instructed to apply specific burdens of proof to render life-changing decisions. Civil trials use a preponderance of evidence (PoE) threshold to establish liability, while criminal trials require proof beyond a reasonable doubt (BaRD) to convict. It is still unclear, however, how laypeople interpret and apply these decision thresholds and how these standards compare to people’s intuitive belief (IB) of what constitutes enough evidence. Further, the extent to which their correct interpretation is context-dependent is currently unknown: are they unique to the legal context, or do they generalize to other contexts (e.g. medical, scientific, and perceptual) that also critically rely on decision thresholds? To compare burdens of proof across contexts requires a common parameter space. Here, we applied quantitative, psychometric analyses developed in psychophysics to compare decision thresholds across legal, nonlegal, and perceptual domains. We found a consistent pattern across domains in which BaRD was interpreted more stringently than PoE but, surprisingly, with PoE being more stringent than people’s IB. Decision thresholds were higher for legal contexts even when the costs of decision outcomes were equated. These results highlight how decisions are rendered inherently more stringently in the legal domain and suggest that laypeople’s IB are more lenient than either legal standard. These findings also illustrate the power of applying psychometrics to elucidate complex decision processes.

  • Hartsough, L., Ginther, M., Cheng, E. K., & Marois, R. (2025). A psychometric approach to decision-making thresholds across legal and societal domains. PNAS nexus, pgae592. doi: 10.1093/pnasnexus/pgae592. [PDF]
Hartsough et al., 2025, fig2
Fig. 1. Likelihood of an affirmative response by evidence strength (participants’ subjective evidence strength for legal and nonlegal, % dot coherence for psychophysical). Shaded regions are 95% CIs estimated via 1,000 bootstrap samples. Decision thresholds are marked with vertical lines and 95% error bars. A) The effect of instruction within each context and B) the effect of context within each instruction (Hartsough et al., 2025).